Pommes der Pinguin hält einen grossen gelben Stern in den Händen
Pommes der Pinguin hält einen grossen gelben Stern in den Händen
30 Tage kostenlos testen
30 Tage kostenlos testen
Über 2,1 Millionen Schüler*innen nutzen sofatutor Über 2,1 Millionen Schüler*innen nutzen sofatutor
Lernpakete anzeigen
Lernpakete anzeigen
Lernpakete anzeigen

Proportionale und antiproportionale Zuordnungen

Durch Untersuchung einer Zuordnung auf Quotientengleichheit oder Produktgleichheit kann man ermitteln, ob es sich um eine proportionale oder antiproportionale Zuordnung handelt.

Inhaltsverzeichnis zum Thema

Was ist eine Zuordnung?

Eine Zuordnung ist eine Beziehung zwischen zwei Größen aus zwei Mengen, die über eine Zuordnungsvorschrift festgelegt ist.

Das bedeutet: Eine Zuordnung ordnet einem Wert einen anderen eindeutig zu.

Proportionale Zuordnungen

Es gibt verschiedene Arten der Darstellung von Zuordnungen. Beispiel: $30$ Liter Benzin kosten $45€$.

Diese Aussage ist eine Zuordnung zwischen Benzinmenge (Ausgangswert) und Preis (zugeordnetem Wert) und kann in einem Pfeildiagramm dargestellt werden:

Volumen (Liter) $\rightarrow$ Preis ($€$)

Anhand der zugehörigen Wertetabelle wird ersichtlich, dass es sich hier um eine proportionale Zuordnung handelt:

Tabelle_proportionale_Zuordnung.jpg

Die dritte Tabellenspalte (Rechnung) verdeutlicht nämlich, wie sich weitere Wertepaare berechnen lassen: Ausgangsgröße und zugeordnete Größe werden jeweils mit demselben Faktor multipliziert oder dividiert.

Allgemein bedeutet dies: Verdoppelt/verdreifacht/halbiert … sich der Ausgangswert, so verdoppelt/verdreifacht/halbiert … sich ebenfalls der zugeordnete Wert.

Quotientengleichheit

In der vierten Spalte der Wertetabelle erscheint der Quotient aus zugeordneter Größe und entsprechender Ausgangsgröße. Er weist einen gleichbleibenden Wert auf:

$\frac{\text{zugeordnete Größe}}{\text{Ausgangsgröße}} = \frac{\text{Preis}}{\text{Volumen}} = 1,5\ \frac{\text{Euro}}{\text{Liter}}=\text{konstanter Wert}$

Diese Eigenschaft nennt man Quotientengleichheit. Sie kann genutzt werden, um zu überprüfen, ob es sich bei einer Zuordnung um eine proportionale Zuordnung handelt. Wenn man den konstanten Wert kennt, kann damit auch die zugeordnete Größe berechnet werden:

$\text{zugeordnete Gr}\ddot{\text{o}}\text{ße} = \text{konstanter Wert} \cdot \text{Ausgangs}\ddot{\text{o}}\text{ße}$

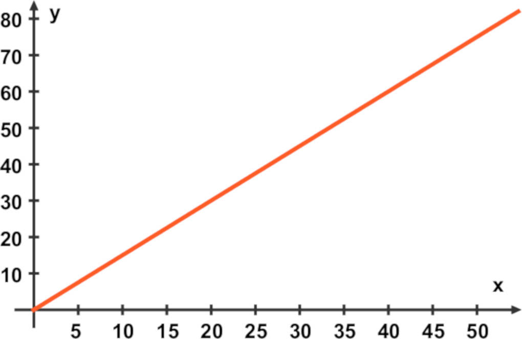
Graphische Darstellung proportionaler Zuordnungen

Eine Zuordnung lässt sich grafisch in einem Koordinatensystem darstellen. Dabei wird die Skala für die Ausgangsgröße auf der $x$-Achse abgetragen und die Skala für die zugeordnete Größe auf $y$-Achse.

Im obigen Beispiel bezeichnet also die $x$-Achse das Volumen und die $y$-Achse den Preis. Die Wertepaare $($ Volumen $\vert $ Preis$)$ werden als Punkte in das Koordinatensystem eingetragen:

$\begin{array}{lllllllllll} (5 | 7,50) ; && (10 |15) ; && (15 | 22,50) ; && (30 | 45) ; && (60 | 90) ; && (90 | 135) \end{array}$

Verbindet man die Punkte miteinander, so liegen sie auf einer Halbgeraden, die im Punkt $(0 | 0)$ beginnt.

proportionale_Zuordnung.jpg

Anwendungsbeispiel: Klopapierrollen

Was macht Frau Schmidt denn nur mit so viel Klopapier? Sie hat $5$ Pakete in ihrem Einkaufswagen und trifft an der Kasse auf Frau Müller. Sie hat bereits $7$ Pakete auf das Band gelegt, diese $7$ Pakete beinhalten $56$ Rollen.

Toilettenpapier.jpg

Wie viele Rollen Klopapier kauft Frau Schmidt? Die Berechnung erfolgt in folgender Tabelle mit Hilfe eines Dreisatzes:

Tabelle_Pakete.jpg

In den $5$ Paketen befinden sich $40$ Rollen.

Anwendungsbeispiel: Fitness

Frau Schlappner hat auf ihrem Heimtrainer bereits $96$ Umdrehungen zurückgelegt, das entspricht einer Strecke von $800\ \text{m}$.

Pedale.jpg

Sie möchte gerne $5\ \text{km}$ schaffen. Wie viele Umdrehungen wären das? Wieder wird die gesuchte Anzahl wie folgt mit Hilfe des Dreisatzes berechnet:

Tabelle_Umdrehungen.jpg

$5\ \text{km}$ auf dem Heimtrainer entsprechen $600$ Umdrehungen.

Anwendungsbeispiel: Hennenstreit

Berta und Emma wetteifern, wer die beste Legehenne ist. Berta kann in $24$ Tagen $30$ Eier legen, Emma schafft in $35$ Tagen $49$ Eier.

Eier.jpg

Welche der beiden Hennen wird gewinnen, wenn ein Zeitraum von $100$ Tagen gewählt wird? Wie gehen wie folgt vor:

Tabelle_Eier.jpg

Emma ist besser, sie legt $15$ Eier mehr als Berta.

Antiproportionale Zuordnungen

Bei einer antiproportionalen Zuordnung oder auch umgekehrt proportionalen Zuordnung gilt: Zu dem Doppelten/Dreifachen/der Hälfte ... der Ausgangsgröße gehört die Hälfte/ein Drittel/das Doppelte ... der zugeordneten Größe.

Beispiel: Der Lebensmittelvorrat im Basislager einer Himalaja-Expedition reicht bei $10$ Teilnehmern $24$ Tage. Wie lange reicht derselbe Vorrat bei $20$ oder $30$ Teilnehmern? Wie lange reicht er bei $5$ oder gar nur $2$ Teilnehmern?

Bei diesem Beispiel wird vorausgesetzt, dass jedes Mitglied der Expedition jeden Tag gleich viele Lebensmittel verbraucht. Dann reicht der Vorrat für $20$ Teilnehmer nur halb so lange wie für $10$ Teilnehmer und für $5$ Teilnehmer doppelt so lange wie für $10$ Teilnehmer.

Die Ausgangsgröße ist die Anzahl der Teilnehmer und die zugeordnete Größe die Zeit in Tagen, dann erhält man folgendes Pfeildiagramm:

Teilnehmer (Anzahl) $\rightarrow$ Zeit (Tage)

In der Wertetabelle muss im Unterschied zur proportionalen Zuordnung auf der rechten Seite immer die Gegenoperation zu der Operation auf der linken Seite durchgeführt werden.

Dies wird in der dritten und vierten Spalte der Wertetabelle ersichtlich:

Tabelle_antiproportionale_Zuordnung.jpg

Produktgleichheit

Wenn man bei einer antiproportionalen Zuordnung die Ausgangsgröße und die zugeordnete Größe multipliziert, erhält man stets denselben Wert:

$\text{Ausgangsgr}\ddot{\text{o}}\text{ße} \cdot  \text{zugeordnete Gr}\ddot{\text{o}}\text{ße} = \text{konstanter Wert}$

Im Expeditionsbeispiel ist es der Wert $240$.

Diese Eigenschaft nennt man Produktgleichheit: Man kann sie nutzen, um zu überprüfen, ob es sich um eine antiproportionale Zuordnung handelt. Wenn der konstante Wert bekannt ist, kann damit du auch die zugeordnete Größe bestimmt werden:

$\text{zugeordnete Gr}\ddot{\text{o}}\text{ße} = \text{konstanter Wert} : \text{Ausgangsgr}\ddot{\text{o}}\text{ße}$

Graphische Darstellung antiproportionaler Zuordnungen

Auch antiproportionale Zuordnungen können im Koordinatensystem veranschaulicht werden. Die Skala für die Ausgangsgröße wird wieder auf der $x$-Achse abgetragen und die Skala für die zugeordnete Größe auf der $y$-Achse.

antiproportionale_Zuordnung.jpg

Die Punkte des Graphen einer antiproportionalen Zuordnung liegen immer auf einer Kurve. Diese Kurve nennt man Hyperbel.

Anwendungsbeispiel: Klassenraum

In einer Klasse mit $24$ Schülern muss nach $10$ Minuten Unterricht gelüftet werden.

Klassenzimmer.jpg

Nach wie vielen Minuten Unterricht muss ein Klassenzimmer mit $32$ Schülern gelüftet werden? Dieser antiproportionale Zusammenhang wird in folgender Tabelle mit Hilfe des Dreisatzes untersucht:

Tabelle_Schüler.jpg

Man muss also bereits nach $7,5$ Minuten lüften.

Anwendungsbeispiel: Rechteck

Ein Rechteck hat die Länge $a = 20\ \text{cm}$ und die Breite $b = 9\ \text{cm}$.

Rechteck.jpg

Wie breit ist ein Rechteck mit gleichem Flächeninhalt, das $15\ \text{cm}$ lang ist?

Der Flächeninhalt eines Rechtecks entspricht dem Produkt seiner beiden Seitenlängen, also gilt $A=a\cdot b$. Demnach ist in dieser Aufgabe Produktgleichheit gefordert. Man rechnet wie folgt, um die neue Länge von $15\ \text{cm}$ zu erreichen:

$ 20\ \text{cm}:4\cdot 3=15\ \text{cm} $

Da es sich hier um eine antiproportionale Zuordnung handelt, muss die Breite $b=9\ \text{cm}$ mit $4$ multipliziert und durch $3$ geteilt werden. Es folgt also:

$ 9\ \text{cm}\cdot 4:3=12\ \text{cm} $

Das neue Rechteck hat also eine Breite von $12\ \text{cm}$.

Anwendungsbeispiel: Topf

Herr Vorsicht möchte Wasser aus einem großen Topf in einen kleineren umschütten. Der große Topf hat eine Grundfläche von $410\ \text{cm}^{2}$, die des kleinen Topfes beträgt $280 \ \text{cm}^{2}$.

Kochtopf.jpg

Das Wasser im großen Topf hat einen Füllstand von $14\ \text{cm}$, der kleine Topf ist $20\ \text{cm}$ hoch. Klappt das Umfüllen?

Das Volumen eines Zylinders entspricht dem Produkt von Grundfläche und Höhe. Das Wasservolumen wird also wie folgt bestimmt:

$ V_{Wasser}=410\ \text{cm}^2\cdot 14\ \text{cm}=5740\ \text{cm}^3 $

Da sich das Volumen des Wassers beim Umschütten nicht ändert, liegt Produktgleichheit vor. Es folgt mit dem Dreisatz:

$ 410\ \text{cm}^2 :41\cdot 28=280\ \text{cm}^2 $

$ 14\ \text{cm} \cdot 41: 28= 20,5\ \text{cm} $

Nach dem Umfüllen würde das Wasser im kleinen Topf $20,5\ \text{cm}$ hoch stehen, es schwappt also über.